Master Zana Bimbel Yogyakarta

Yuk Kenalan Sama Baris Deret Fibonacci!

Apa sih itu baris deret fibonacci?

Seperti soal-soal baris deret lainnya yang sering muncul dalam berbagai tes baik CPNS, BUMN, TPA, PAPS, IUP dll. Fibonacci adalah salah satu jenis soal baris deret yanhg sering muncul. 

Bentuk umumnya biasanya seperti ini 

1,1,2,3,5,8,13, …

Nah biasanya kita ke-gocek atau kena jebakan batmen duluan ketika lihat barsu deret ini dengan usaha coba menyelesaikannya menggunakan sistem larik padahal bukan.

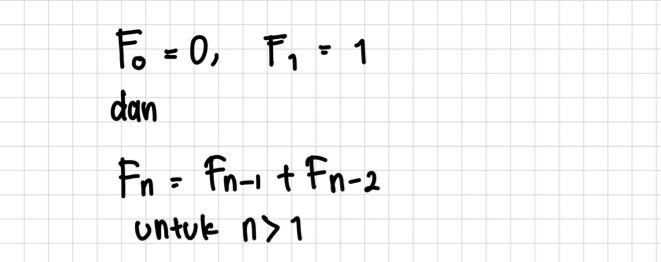
Secara matematika baris fibonacci di definiskan sebagai berikut :

 

Yuk coba kita telaah sejarahnya kenapa bisa ada baris fibonacci

Bilangan Fibonacci telah dikenal dalam tradisi matematika India sejak sekitar 200 SM melalui karya Pingala, yang menggunakannya untuk menghitung pola dalam puisi Sanskerta berbasis dua suku kata. Deret ini kemudian dinamai dari matematikawan Italia, Leonardo da Pisa atau Fibonacci, yang mengenalkannya kepada matematika Eropa Barat melalui bukunya Liber Abaci pada tahun 1202.

Kemunculan deret Fibonacci dalam berbagai cabang matematika begitu sering dan mengejutkan sehingga terdapat jurnal khusus untuk membahasnya, yaitu Fibonacci Quarterly. Deret ini memiliki beragam penerapan, termasuk dalam algoritma komputer seperti teknik pencarian Fibonacci dan struktur data heap Fibonacci. Polanya juga dapat ditemukan di alam, misalnya pada percabangan pohon, pola susunan daun, tunas buah nanas, pembungaan artichoke, hingga bentuk dedaunan pada pohon cemara—meskipun tidak selalu berlaku untuk semua spesies.

Bagaimana cara menyelesaikan soal Baris Deret Fibonacci?

Sebenarnya sederhana saja, baris berikutnya adalah hasil dari baris sebelumnya. Untuk mempermudah coba lihat gambar dibawah ini ya. Jadi 2 adalah hasil dari 1+1, 3 adalah hasil dari 1 +2, 5 adalah hasi; dari 2 + 3 dan begitu seterusnya

Jadi gimana udah bisa menyelesaikan soal Fibonacci? Semangat!

Tinggalkan Komentar

Alamat email Anda tidak akan dipublikasikan. Ruas yang wajib ditandai *

Scroll to Top